南湖新闻网讯(通讯员 陶诗煜)近日,五楼自拍
魏泓教授团队针对肠道微生物群体感应(QS)信号分子调控宫内生长受限(IUGR)仔猪肠道损伤这一领域开展系统深入的研究,在国际学术期刊Science of the Total Environment,Gut Microbes,Microbiology Spectrum,Frontiers in Immunology,Journal of Cellular Physiology和The Journal of Nutrition上发表了系列研究论文。揭示了IUGR仔猪肠腔中微生物QS信号分子的变化及其调控肠道屏障功能损伤的分子机制,为预防IUGR所致肠道疾病的发生提供了新思路,为IUGR仔猪营养生理调控关键靶点的筛选提供了理论依据。
IUGR导致的仔猪低初生重及继发的哺乳期高死亡率和全期低生长性能,是养猪业存在的主要问题之一。据统计,受IUGR影响,我国15%~20%的仔猪初生重低于1.1 kg。IUGR仔猪通常伴有出生后肠道功能障碍,从而影响动物出生后的生产潜力。相比于正常仔猪,IUGR仔猪的后期饲料利用效率降低30%,平均出栏时间延长30天,每年给我国养猪生产带来的经济损失达150亿元。因此,改善IUGR仔猪的肠道健康状况对于确保生猪健康养殖十分重要而迫切。研究团队前期发现IUGR所致的肠道发育缺陷可以从新生持续到生长阶段,由氧化应激和细胞凋亡所致的肠道屏障功能损伤是IUGR猪肠道发育缺陷的生物学基础。
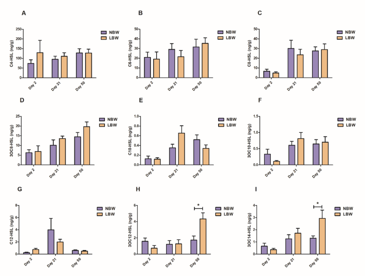
QS是原核生物中一种基于分子信号的通讯机制。QS信号分子不仅能够控制微生物群落行为,还可调节宿主细胞的生理状态。研究表明,革兰氏阴性菌通过分泌QS信号分子调节真核细胞的功能,破坏宿主肠道上皮细胞的稳态,最终导致肠上皮屏障功能障碍。研究团队前期发现,以拟杆菌属和梭杆菌属为代表的革兰氏阴性菌是IUGR仔猪肠道中的优势菌群。然而,目前尚不清楚IUGR仔猪肠腔内革兰氏阴性菌的大量繁殖是否增加QS信号分子的分泌?基于此科学问题,通过检测正常和IUGR仔猪粪便中9种典型的革兰氏阴性菌源的QS信号分子浓度发现3OC12-HSL在IUGR仔猪中显著升高;以瘤胃球菌为代表的革兰氏阳性菌在IUGR仔猪肠道中显著降低,且几乎所有的差异瘤胃球菌均与3OC12-HSL浓度呈显著负相关,该结果为IUGR仔猪肠腔内存在革兰氏阴性菌来源的QS信号分子提供了直接证据。

图1 正常和IUGR仔猪粪便中9种典型的革兰氏阴性菌源QS信号分子浓度
研究剖析了微生物QS信号分子3OC12-HSL介导IUGR仔猪肠道屏障功能损伤的分子机制。体外细胞试验结果表明:3OC12-HSL可通过诱导肠上皮细胞氧化应激与凋亡、破坏细胞外基质与紧密连接蛋白,从而影响肠上皮细胞增殖、破坏屏障功能;而抗氧化剂NAC和细胞凋亡抑制剂Z-VAD-FMK可阻止3OC12-HSL对肠上皮屏障的破坏作用,进一步明确了氧化应激与凋亡通路在该过程中的介导作用。基于无菌小鼠体系进一步揭示了3OC12-HSL导致肠道屏障功能损伤的微生物介导机制:3OC12-HSL破坏SPF小鼠肠道上皮屏障,诱导全身炎症反应;将SPF小鼠的粪便微生物移植给无菌小鼠后,无菌小鼠几乎复制了3OC12-HSL处理的SPF小鼠的所有表型;通过微生物组学联合分析发现Elizabethkingia spp.是SPF和无菌小鼠肠道中共同的差异细菌,该研究利用无菌动物模型和粪便微生物移植技术,首次在动物体内证明了QS信号分子3OC12-HSL通过调控特定微生物破坏肠道屏障功能,该研究方法为解析猪功能微生物与宿主互作机制提供了新思路。基于上述研究成果形成了综述性论文,该论文对革兰氏阴性菌QS信号分子在调节宿主细胞功能和肠道健康中的重要性进行了全面的综述,并提出通过阻断QS信号分子发挥其功能的途径来应用于防治人类和动物肠道疾病的可能性。

图2 QS信号分子3OC12-HSL介导肠道屏障功能损伤的分子机制

图3 QS信号分子3OC12-HSL导致肠道屏障功能损伤的微生物介导机制

图4 革兰氏阴性菌QS信号分子对宿主肠道健康的影响
该研究团队长期致力于肠道功能微生物的发掘及利用无菌动物体系对功能微生物进行功能验证。通过整合肠道功能微生物组与无菌动物实验技术,发现了粪菌移植通过调控宿主免疫和肠道屏障功能缓解无菌小鼠结肠炎的敏感性;阐明了益生菌(丁酸梭菌)及其衍生的胞外囊泡通过调节肠道内稳态及肠道菌群以改善急性实验性结肠炎,该研究为以肠道功能微生物为靶点防治炎症性肠道疾病提供了新的见解,并促进了炎症性肠道疾病的新型治疗和预防干预措施的发展。
五楼自拍
魏泓教授团队陶诗煜副研究员为系列论文的第一或通讯(含共同)作者,研究得到中国农业大学王军军教授和浙江省农业科学院杨华研究员的支持,上述研究受到国家自然科学基金、国家重点研发计划和校自主科技创新基金的资助。
审核人:魏泓
【英文摘要1】
Quorum sensing is a molecular signaling-based communication mechanism in prokaryotes. In the basic mode, signaling molecules released by certain bacteria are sensed by intracellular receptors or membrane-bound receptors of other members in the community, leading to the collective isogenic signaling molecule synthesis and synchronized activities. This regulation is important for the symbiosis of the bacterium with the host, as well as virulence and biofilm formation. Notably, quorum sensing signaling molecules are not only able to control microbial community behavior but can likewise regulate the physiological status of host cells. Here, we provide a comprehensive review of the importance of quorum sensing signaling molecules in gram-negative bacteria in regulating host cell function and gut health, and suggest possible opportunities for application in combating human and animal diseases by blocking the pathways through which quorum sensing signaling molecules exert their functions.
【英文摘要2】
As a quorum sensing signal molecule, N-(3-oxododecanoyl)-homoserine lactone (3OC12) regulate the population behavior of microorganisms. Many studies have proved that 3OC12 harm the physiological function of host intestinal epithelial cells. However, the detrimental effects of 3OC12 on intestinal health need verification in animals. Besides, the role of gut microbiome in 3OC12-induced intestinal damage also needs further understanding. In our study, 3OC12 was first administered to specific pathogen-free (SPF) mice, then the fecal microbiome of SPF mice was transplanted into germ-free (GF) mice to reveal the effects of 3OC12 on intestinal health and regulatory mechanisms of the intestinal microbiome. 3OC12 treatment significantly decreased body weight, shortened colonic length, disrupted the morphology of the colonic epithelium and increased the histopathological score of the colon in SPF mice. The levels of diamine peroxidase, d-lactate, TNF-α, IL-1β, and IL-8 were found to be significantly elevated in the serum of 3OC12 mice, while the levels of IL-10 were significantly reduced. Besides, the fecal microbial community of mice was also altered in the 3OC12-treated SPF mice. The results of fecal microbial transplantation (FMT) experiment showed that the phenotypes in SPF mice were almost reproduced in GF mice, manifested by body weight loss, colon damage and changed in serum chemical markers. More importantly, a joint analysis of fecal microbes in SPF and GF mice revealed Feature14_Elizabethkingia spp. was common differential bacteria in the feces of two kinds of mice treated with and without FMT. Our results demonstrated that 3OC12 challenge led to systemic inflammation and body weight loss in mice by disrupting intestinal barrier function, in which gut microbiome played a key role. These findings increased our understanding of the mechanism of intestinal injury caused by 3CO12, providing new ideas for the prevention and therapy of diseases caused by bacterial infection from the perspective of intestinal microbiome.
【英文摘要3】
Microbes employ autoinducers of quorum sensing (QS) for population communication. Although the autoinducer of Pseudomonas aeruginosa LasI-LasR system, N-(3-oxododecanoyl)- l -homoserine lactone (3OC12), has been reported with deleterious effects on host cells, its biological effects on integrity of the intestinal epithelium and epithelial barrier are still unclear and need further investigation. In the present study, flow cytometry, transcriptome analysis and western blot technology have been adopted to investigate the potential molecular mechanisms of 3OC12 and its structurally similar analogs damage to intestinal epithelial cells. Our results indicated that 3OC12 and 3OC14 trigger apoptosis rather than necrosis and ferroptosis in intestinal epithelial cells. RNA-sequencing combined with bioinformatics analysis showed that 3OC12 and 3OC14 reduced the expression of genes from extracellular matrix (ECM)-receptor interaction pathway. Consistently, protein expressions from ECM and tight junction-associated pathway were significantly reduced after 3OC12 and 3OC14 challenge. In addition, 3OC12 and 3OC14 led to blocked cell cycle, decreased mitochondrial membrane potential, increased reactive oxygen species level and elevated Ca2+ concentration. Reversely, the antioxidant NAC could effectively mitigate the reduced expression of ECM and tight junction proteins caused by 3OC12 and 3OC14 challenge. Collectively, this study demonstrated that QS autoinducer exposure to intestinal epithelial cells ablates the ECM and tight junctions by triggering oxidative stress and apoptosis, and finally disrupts the intestinal epithelial barrier. These findings provide a rationale for defensing QS-dependent bacterial infections and potential role of NAC for alleviating the syndrome.
【英文摘要4】
Microbiological treatments are expected to have a role in the future management of inflammatory bowel disease (IBD).Clostridium butyricum(C. butyricum) is a probiotic microorganism that exhibits beneficial effects on various disease conditions. Although many studies have revealed thatC. butyricumprovides protective effects in mice with colitis, the wayC. butyricumestablishes beneficial results in the host remains unclear. In this study, we investigated the mechanisms by whichC. butyricummodifies the gut microbiota, produces bacterial metabolites that may be involved, and, specifically, how microbial extracellular vesicles (EVs) positively influence IBD, using a dextran sulfate sodium (DSS)-induced colitis murine model in mice. First, we showed thatC. butyricumprovides a protective effect against colitis, as evidenced by the prevention of body weight loss, a reduction in the disease activity index (DAI) score, a shortened colon length, decreased histology score, and an improved gut barrier function, accompanied by reduced levels of pathogenic bacteria, includingEscherichia/Shigella, and an increased relative abundance of butyrate-producingClostridium sensu stricto-1andButyricicoccus. Second, we also confirmed that the gut microbiota and metabolites produced byC. butyricumplayed key roles in the attenuation of DSS-induced experimental colitis, as supported by the profound alleviation of colitis effects following fecal transplantation or fecal filtrate insertion supplied fromC. butyricum-treated mice. Finally,C. butyricum-derived EVs protected the gut barrier function, improved gut microbiota homeostasis in ulcerative colitis, and contributed to overall colitis alleviation.
论文链接:
//www.tandfonline.com/doi/full/10.1080/19490976.2022.2039048
//www.sciencedirect.com/science/article/pii/S0048969721014157?via%3Dihub
//onlinelibrary.wiley.com/doi/10.1002/jcp.30261
//academic.oup.com/jn/article/151/7/1736/6274958?login=true
//journals.asm.org/doi/full/10.1128/spectrum.01368-22?rfr_dat=cr_pub++0pubmed&url_ver=Z39.88-2003&rfr_id=ori%3Arid%3Acrossref.org
//www.frontiersin.org/articles/10.3389/fimmu.2022.836542/full